
structural formula
| business number | 01zm |
|---|---|
| molecular formula | c7h8clno3s |
| molecular weight | 221.66 |
| label |
2-amino-5-methyl-p-chlorobenzenesulfonic acid, 2-amino-4-chloro-5-methylbenzenesulfonic acid, 2-amino-4-chloro-5-methylbenzenesulfonic acid, aromatic sulfur compounds |
numbering system
cas number:88-51-7
mdl number:mfcd00035771
einecs number:201-837-6
rtecs number:xt6330000
brn number:none
pubchem id:none
physical property data
1. properties: white crystalline powder. industrial products are off-white or rose red.
2. density (g/ml, 25/4℃): undetermined
3. relative vapor density (g/ml, air=1): undetermined
4. melting point (ºc): >300
5. boiling point (ºc, normal pressure): not determined
6. boiling point (ºc, 5.2kpa): not determined determined
7. refractive index: undetermined
8. flash point (ºc): undetermined
9. specific rotation (º): undetermined
10. autoignition point or ignition temperature (ºc): undetermined
11. vapor pressure (kpa, 25ºc): undetermined
12. saturation vapor pressure (kpa, 60ºc): undetermined
13. heat of combustion (kj/mol): undetermined
14. critical temperature (ºc): undetermined
15. critical pressure (kpa): undetermined
16. log value of oil-water (octanol/water) partition coefficient: undetermined
17. explosion upper limit (% ,v/v): undetermined
18. lower explosion limit (%,v/v): undetermined
19. solubility: insoluble in cold water, slightly soluble in hot water , soluble in ethanol, ether and dilute alkali solution.
toxicological data
none
ecological data
none
molecular structure data
1. molar refractive index: 50.17
2. molar volume (cm3/mol): 142.7
3. isotonic specific volume (90.2k ): 403.6
4. surface tension (dyne/cm): 63.9
5. polarizability (10-24cm3): 19.88
compute chemical data
1. reference value for hydrophobic parameter calculation (xlogp): 1.5
2. number of hydrogen bond donors: 2
3. number of hydrogen bond acceptors: 4
4. number of rotatable chemical bonds: 1
5. number of tautomers: none
6. topological molecule polar surface area 88.8
7. number of heavy atoms: 13
8. surface charge: 0
9. complexity:274
10. number of isotope atoms: 0
11. number of determined atomic stereocenters: 0
12. number of uncertain atomic stereocenters: 0
13. determine the number of stereocenters of chemical bonds: 0
14. uncertain number of stereocenters of chemical bonds: 0
15. number of covalent bond units: 1
properties and stability
toxic. operators should wear labor protection equipment.
storage method
this product should be kept sealed and dry. store and transport according to regulations on toxic chemicals.
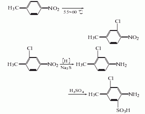
synthesis method
using p-nitrotoluene as raw material, it is chlorinated to form a mixture of o-chloro-p-nitrotoluene and m-chloro-p-nitrotoluene. the o-chloro-p-nitrotoluene is separated by crystallization, and then reduced, refined, and sulfonated. get the finished product. raw material consumption quota: p-nitrotoluene (98.5%) 780kg/t, sulfuric acid (98) 485kg/t, chlorine (99%) 589kg/t, sulfur (99%) 273kg/t, sodium sulfide (63.5%) 1051kg/t t, hydrochloric acid (32.5%) 391kg/t.

purpose
dye intermediates. used to synthesize c.i. pigment red, light-fast bright red bbn, light-fast bright red bbc, bright red powder, etc.

微信扫一扫打赏
