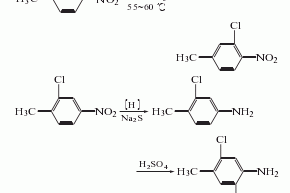
4-amino-2-chlorotoluene-5-sulfonic acid

structural formula business number 01zm molecular formula c7h8clno3s molecular weight 221.66 label 2-amino-5-methyl-p-chlorobenzenesulfonic acid, 2-amino-4-chloro-5-methylbenzenesulfonic acid, 2-amino…

Contact Us

Contact us

+86 - 152 2121 6908

Online consultation: QQ交谈

E-mail: sales@newtopchem.com

Working hours: Monday to Friday, 9:00-17:30, closed on holidays
Follow wechat
Scan wechat and follow us

Scan wechat and follow us

Follow Weibo
Back to top
Home
E-mail
Products
Search