
structural formula
| business number | 01sj |
|---|---|
| molecular formula | c28h31cln2o3 |
| molecular weight | 479.01 |
| label |
rhodamine 610; rose red b; rhodamine b; rhodamine b; rhodamine b; blue light basic rhodamine, basic violet 10, rhodamine o, brilliant pink b, tetraethylrhodamine, dye |
numbering system
cas number:81-88-9
mdl number:mfcd00011931
einecs number:201-383-9
rtecs number:bp3675000
brn number:4119648
pubchem number:24899386
physical property data
1. properties: green crystal or red-purple powder. 2. density (g/ml, 25/4℃): uncertain
3. relative vapor density (g/ml, air=1): uncertain
4. melting point (ºc): ): 210
5. boiling point (ºc, normal pressure): uncertain
6. boiling point (ºc, 5.2kpa): uncertain
7. refractive index: uncertain
8. flash point (ºc): uncertain
9. specific rotation (º): uncertain
10. spontaneous combustion point or ignition temperature (ºc): uncertain
11. vapor pressure (kpa, 25ºc): uncertain
12. saturated vapor pressure (kpa, 60ºc): uncertain
13. heat of combustion (kj/mol): uncertain
14. critical temperature (ºc): uncertain
15. critical pressure (kpa) : uncertain
16. log value of oil-water (octanol/water) partition coefficient: uncertain
17. explosion upper limit (%, v/v): uncertain
p>
18. lower explosion limit (%, v/v): uncertain
19. solubility: easily soluble in water, ethanol, slightly soluble in acetone, chloroform, hydrochloric acid and sodium hydroxide solution. the aqueous solution is blue-red and has strong fluorescence after dilution, and the alcohol solution is red fluorescence.
toxicological data
none yet
ecological data
none yet
molecular structure data
none yet
compute chemical data
1. reference value for hydrophobic parameter calculation (xlogp): none
2. number of hydrogen bond donors: 1
3. number of hydrogen bond acceptors: 5
4. number of rotatable chemical bonds: 7
5. number of tautomers: none
6. topological molecule polar surface area 52.8
7. number of heavy atoms: 34
8. surface charge: 0
9. complexity: 811
10. number of isotope atoms: 0
11. determine the number of atomic stereocenters: 0
12. uncertain number of atomic stereocenters: 0
13. determined number of chemical bond stereocenters: 0
14. uncertain number of chemical bond stereocenters: 0
15. number of covalent bond units: 2
properties and stability
1. bright green flashing crystal powder, soluble in water and alcohol, showing a blue-red solution with strong fluorescence, easily soluble in fibrinolyticin, slightly soluble in acetone; when exposed to concentrated sulfuric acid, it turns yellow-brown, with strong the green fluorescence turns bright red into blue red and orange after dilution. the aqueous solution is heated after adding sodium hydroxide to form a rose red velvety precipitate.
2.the complex is fluorescent. reaction with lipids produces purple color on pink background.
storage method
store sealed in a cool, dry place.
synthesis method
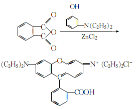
1. this product is obtained by synthesizing m-hydroxydiethylaniline and phthalic anhydride, then using sodium hydroxide for alkali fusion, then dissolving with sulfuric acid, crystallizing with hydrochloric acid, salting out, filtering and drying.
raw material consumption (kg/t) m-hydroxydiethylaniline 760 phthalic anhydride 600 sulfuric acid 590 hydrochloric acid (31%) 390 sodium hydroxide (100%) 390 refined salt 120 taikoo oil 19.
2.mix excess phthalic anhydride and m-hydroxy-n,n-diethylaniline and slowly heat to 100 ℃, then add an appropriate amount of newly roasted anhydrous zinc chloride as a dehydrating agent, and gradually increase the temperature with sufficient stirring to dehydrate while reacting:

after the reaction is completed, cool and solidify, then crush then, extract with hot ethanol. after the extract is cooled, rhodamine will precipitate. the separated crystals are dissolved with dilute hydrochloric acid, evaporated and concentrated, cooled and crystallized, separated and dried to obtain the finished product.
3. wash the industrial rose quartz essence with sodium carbonate solution at 50°c, and the rhodamine will form an insoluble sodium salt. sodium phthalate is dissolved in water. after filtering, the crystals are washed with water to remove the free base. after separation, the crystals are added to hydrochloric acid to form hydrochloride, and then recrystallized with water to obtain the reagent rhodamine b.
purpose
1. mainly used in the papermaking industry to dye waxed paper, typing paper, glossy paper, etc.; reacts with phosphotungstomolybdic acid to form a lake, which can be used to make paints, pictures and other pigments, and can also be used in acrylic, hemp, and silk. dyeing of other fabrics, wheat straw and leather products. photometric determination of gold, gallium, mercury, antimony (ⅴ), thallium (ⅲ), fluorescence determination of manganese, cobalt, etc., colorimetric determination of cadmium. redox indicator is a precipitant used to titrate tin, antimony, niobium and tantalum. biological stains. series of laser dyes.
2.used for the determination of gallium, antimony, vanadium, gold, arsenic, thallium, etc. by extraction photometry or fluorescence photometry. hexavalent chromium can oxidize iodide to i3-, which forms an ionic association with the reagent, which is used for the photometric determination of hexavalent chromium in various environmental waters. used as a chromogenic reagent for the determination of lipids by thin layer chromatography. also used as biological stains and dyes.
3.in the cosmetics industry, it can be used for coloring bath liquids, shampoos, cold perms and other products, but it must not be used in eye, oral and lip cosmetics.

微信扫一扫打赏
