rhodamine b rhodamine b

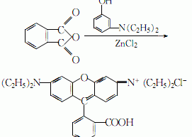
structural formula business number 01sj molecular formula c28h31cln2o3 molecular weight 479.01 label rhodamine 610; rose red b; rhodamine b; rhodamine b; rhodamine b; blue light basic rhodamine, basic…

Contact Us

Contact us

+86 - 152 2121 6908

Online consultation: QQ交谈

E-mail: sales@newtopchem.com

Working hours: Monday to Friday, 9:00-17:30, closed on holidays
Follow wechat
Scan wechat and follow us

Scan wechat and follow us

Follow Weibo
Back to top
Home
E-mail
Products
Search