
structural formula
| business number | 01e1 |
|---|---|
| molecular formula | c4h4n2o2 |
| molecular weight | 112.09 |
| label |
2,4-dihydroxypyrimidine, 2,4(1h,3h)-pyrimidinedione, 2,4-dihydroxypyrimidine, 2,4-pyrimidinediol, heterocyclic compounds |
numbering system
cas number:66-22-8
mdl number:mfcd00006016
einecs number:200-621-9
rtecs number:yq8650000
brn number:606623
pubchem number:24900618
physical property data
1. properties: white or light yellow needle-like crystals
2. density (g/ml, 25/4℃): uncertain
3. relative vapor density ( g/ml, air=1): uncertain
4. melting point (ºc): >300(lit.)
5. boiling point (ºc, normal pressure): uncertain
6. boiling point (ºc, 5.2kpa): uncertain
7. refractive index: uncertain
8. flash point (ºc): uncertain
9. specific rotation (º): uncertain
10. autoignition point or ignition temperature (ºc): uncertain
11. vapor pressure (kpa, 25ºc): uncertain
12. saturated vapor pressure (kpa, 60ºc): uncertain
13. heat of combustion (kj/mol): uncertain
14. critical temperature (ºc): uncertain
15. critical pressure (kpa): uncertain
16. oil-water (octanol/water) partition coefficient log value: uncertain
17. explosion upper limit (%, v/v): uncertain
18. explosion lower limit (%, v/v): uncertain
19. solubility: easily soluble in hot water, soluble in dilute ammonia, slightly soluble in cold water, insoluble in ethanol and ether
toxicological data
none yet
ecological data
none yet
molecular structure data
1. molar refractive index: 25.00
2. molar volume (cm3/mol): 84.8
3. isotonic specific volume (90.2k ): 215.0
4. surface tension (dyne/cm): 41.3
5. polarizability (10-24cm3): 9.91
compute chemical data
1. reference value for hydrophobic parameter calculation (xlogp): none
2. number of hydrogen bond donors: 2
3. number of hydrogen bond acceptors: 2
4. number of rotatable chemical bonds: 0
5. number of tautomers: 9
6. topological molecular polar surface.��58.2
7. number of heavy atoms: 8
8. surface charge: 0
9. complexity: 161
10. number of isotope atoms: 0
11. number of determined atomic stereocenters: 0
12. number of uncertain atomic stereocenters: 0
13 .determined number of stereocenters of chemical bonds: 0
14. uncertain number of stereocenters of chemical bonds: 0
15. number of covalent bond units: 1
properties and stability
none yet
storage method
this product should be kept sealed and dry.
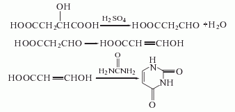
synthesis method
produced by the reaction of malic acid, sulfuric acid and urea.

purpose
biochemical research.

微信扫一扫打赏
