uracil uracil

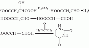
structural formula business number 01e1 molecular formula c4h4n2o2 molecular weight 112.09 label 2,4-dihydroxypyrimidine, 2,4(1h,3h)-pyrimidinedione, 2,4-dihydroxypyrimidine, 2,4-pyrimidinediol, heter…

Contact Us

Contact us

+86 - 152 2121 6908

Online consultation: QQ交谈

E-mail: sales@newtopchem.com

Working hours: Monday to Friday, 9:00-17:30, closed on holidays
Follow wechat
Scan wechat and follow us

Scan wechat and follow us

Follow Weibo
Back to top
Home
E-mail
Products
Search