Polyether_Polyether Polyol Knowledge 3,4-dichloro-1-trifluoromethylbenzene

3,4-dichloro-1-trifluoromethylbenzene

3,4-dichloro-1-trifluoromethylbenzene structural formula

structural formula

business number 048d
molecular formula cl2c7h4f3
molecular weight 215
label

3,4-dichlorotrifluorotoluene,

3,4-dichlorotrifluoromethylbenzene,

4-(trifluoromethyl)-1,2-dichlorobenzene,

1,2-dichloro-4-trifluoromethylbenzene,

dichlorotrifluorotoluene,

aromatic halogen derivatives

numbering system

cas number:328-84-7

mdl number:mfcd00000555

einecs number:206-337-1

rtecs number:cz5527510

brn number:1950151

pubchem id:none

physical property data

1. physical property data

properties: colorless transparent liquid

density (g/ml, 25/ 4℃): 1.496

relative vapor density (g/ml, air=1): not available

melting point (ºc): – 11

boiling point (ºc, normal pressure): 173-174

boiling point (ºc, 5.2kpa): not available

refractive index: 1.4736

flash point (ºc): 65

specific rotation (º): not available

autoignition point or ignition temperature (ºc): not available

vapor pressure (kpa, 25ºc): not available

p>

saturated vapor pressure (kpa, 60ºc): not available

heat of combustion (kj/mol): not available

critical temperature (ºc): not available

critical pressure (kpa): not available

oil-water (octanol/ log value of the distribution coefficient of water): not available

upper explosion limit (%, v/v): not available

lower explosion limit (% ,v/v): not available

solubility: not available

toxicological data

2. toxicological data:

acute toxicity: not available.

ecological data

3. ecological data:

1. other harmful effects: this substance may be harmful to the environment, and special attention should be paid to water bodies.

molecular structure data

1. molar refractive index: 41.02

2. molar volume (cm3/mol): 146.9

3. isotonic specific volume (90.2k ): 336.2

4. surface tension (dyne/cm): 27.4

5. polarizability (10-24cm3): 16.26

compute chemical data

1. reference value for hydrophobic parameter calculation (xlogp): none

2. number of hydrogen bond donors: 0

3. number of hydrogen bond acceptors: 3

4. number of rotatable chemical bonds: 0

5. number of tautomers: none

6. topological molecule polar surface area 0

7. number of heavy atoms: 12

8. surface charge: 0

9. compleximpurity: 157

10. number of isotope atoms: 0

11. number of determined atomic stereocenters: 0

12. uncertain atomic stereocenter quantity: 0

13. determined number of stereocenters of chemical bonds: 0

14. uncertain number of stereocenters of chemical bonds: 0

15. covalent bonds number of units: 1

properties and stability

this product is toxic and its vapor can irritate the respiratory system. damage to the skin caused by the liquid can cause itching and pain. the maximum allowable concentration in the air is 5mg/m3.

storage method

packed in galvanized iron barrels, net weight 200kg per barrel, stored in a ventilated, sun-proof and moisture-proof place

synthesis method

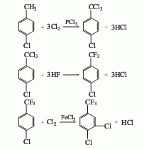
1.toluene method

2. raw material consumption quota for p-chlorotoluene method: p-chlorotoluene (≥98%) 900kg/t; chlorine 2500kg/t; hydrogen fluoride 500kg/t. 3.3,4-dichlorotrichloromethylbenzene fluorination method. the product yield of this method is 98.4%.

purpose

pesticides; pharmaceutical intermediates. used as an intermediate for the synthesis of diphenyl ether fluorine-containing herbicides. used to synthesize lactofluoropin, flufenacet, carboxyfen, etc.

This article is from the Internet, does not represent the position of Toluene diisocyanate reproduced please specify the source.https://www.polyether-factory.com/archives/19787

author:

Previous article
Next article
Contact Us

Contact us

+86 - 152 2121 6908

Online consultation: QQ交谈

E-mail: sales@newtopchem.com

Working hours: Monday to Friday, 9:00-17:30, closed on holidays
Follow wechat
Scan wechat and follow us

Scan wechat and follow us

Follow Weibo
Back to top
Home
E-mail
Products
Search