
structural formula
| business number | 03s9 |
|---|---|
| molecular formula | c23h42cln |
| molecular weight | 404.08 |
| label |
1427, myristatedimethylbenzylammonium chloride, benzyltetradecyldimethylammonium chloride, benzyldimethyltetradecylammonium chloride, industrial surfactants, chemical additives, cationic surfactant |
numbering system
cas number:139-08-2
mdl number:mfcd00011771
einecs number:205-352-0
rtecs number:bo7150000
brn number:4062599
pubchem number:24848127
physical property data
1. properties: white crystal. hygroscopic.
2. density (g/ml, 25/4℃): undetermined
3. relative vapor density (g/ml, air=1): undetermined
4. melting point (ºc): 63~65
5. boiling point (ºc, normal pressure): undetermined
6. boiling point (ºc, 5.2kpa): undetermined
7. refractive index: undetermined
8. flash point (ºc): undetermined
9. specific rotation (º): undetermined determined
10. autoignition point or ignition temperature (ºc): not determined
11. vapor pressure (kpa, 25ºc): not determined
12. saturated vapor pressure (kpa, 60ºc): undetermined
13. heat of combustion (kj/mol): undetermined
14. critical temperature (ºc): undetermined
15. critical pressure (kpa): undetermined
16. log value of oil-water (octanol/water) partition coefficient: undetermined
17. explosion upper limit ( %, v/v): undetermined
18. lower explosion limit (%, v/v): undetermined
19. solubility: easily soluble in water and ethanol, insoluble in organic solvents such as benzene and ether.
toxicological data
skin/eye irritation data
rabbit skin contact: 1mg/24h
rabbit eye contact: 1mg
acute toxicity data:
mouse intravenous lc50: 18mg/kg
ecological data
none
molecular structure data
none
compute chemical data
1. reference value for hydrophobic parameter calculation (xlogp): none
2. number of hydrogen bond donors: 0
3. number of hydrogen bond acceptors: 1
4. number of rotatable chemical bonds: 15
5. number of tautomers: none
6. topological molecule polar surface area 0
7. number of heavy atoms: 25
8. surface charge: 0
9. complexity: 265
10. number of isotope atoms: 0
11. determine the number of atomic stereocenters: 0
12. uncertain number of atomic stereocenters: 0
13. determine the number of chemical bond stereocenters number: 0
14. number of uncertain chemical bond stereocenters: 0
15. number of covalent bond units: 2
properties and stability
cannot be blended with anions.
storage method
this product should be kept sealed.
synthesis method
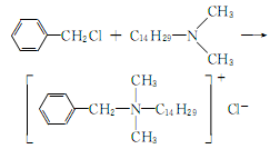
1. prepared by the reaction of tetradecyldimethyltertiary amine and benzyl chloride. use tetradecyldimethylamine as raw material, react with benzyl chloride, and perform quaternization
this product can be prepared by the reaction, but due to domestic the raw material of tetradecanol often contains a certain amount of dodecanol, so the tetradecyldimethyltertiary amine produced by the new catalytic ammoniation process of tetradecyl alcohol and dimethylamine also often contains a certain amount of dodecanol. alkyl dimethyl tertiary amine, so the product often contains a certain amount of dodecyl dimethyl benzyl ammonium chloride. take 241 parts of tetradecyldimethyl tertiary amine, add 126.5 parts of benzyl chloride at a temperature not exceeding 100-110°c, and heat at 120°c for 2 hours to obtain a light yellow viscous liquid, which is cooled into a solid. the yield is 90%. above. the reaction formula is as follows:

purpose
1. commonly used cationic surfactants can improve the performance of analytical reagents, such as increasing the sensitivity of glyoxal bis-(2-hydroxyaniline) when measuring calcium and increasing the stability of chromium azure s when measuring aluminum.
2.this product is the main component of jn- bactericidal algaecide. good compatibility with non-ionic, zwitterionic and other cationic active substances. good thermal stability.
3.it is commonly used as a bactericidal algaecide, slime stripper and system cleaning agent in industrial circulating water treatment.

微信扫一扫打赏
