
structural formula
| business number | 03r7 |
|---|---|
| molecular formula | c6h7cl2n |
| molecular weight | 164 |
| label |
aromatic nitrogen-containing compounds and their derivatives |
numbering system
cas number:137-04-2
mdl number:mfcd00053282
einecs number:205-274-7
rtecs number:none
brn number:3624280
pubchem id:none
physical property data
1. properties: white to gray flaky crystals
2. melting point (℃): 235
3. relative density: 1.505
4. solubility: soluble in water, slightly soluble in ethanol.
toxicological data
none
ecological data
none
molecular structure data
none
compute chemical data
1. reference value for hydrophobic parameter calculation (xlogp): none
2. number of hydrogen bond donors: 2
3. number of hydrogen bond acceptors: 1
4. number of rotatable chemical bonds: 0
5. number of tautomers: none
6. topological molecule polar surface area 26
7. number of heavy atoms: 9
8. surface charge: 0
9. complexity: 74.9
10. number of isotope atoms: 0
11. determine the number of atomic stereocenters: 0
12. uncertain number of atomic stereocenters: 0
13. determine the number of chemical bond stereocenters: 0
14. number of uncertain chemical bond stereocenters: 0
15. number of covalent bond units: 2
properties and stability
this product is relatively stable and less likely to cause poisoning. however, the intermediate o-chloroaniline is highly toxic and harmful to the human body. therefore, the operation must be carried out in a closed system to avoid direct contact with the human body. operators should wear protective equipment.
storage method
packed in iron drums lined with plastic bags, 20kg per drum. store in a ventilated, dry place, away from sunlight, heat and moisture. store and transport according to regulations on toxic chemicals.
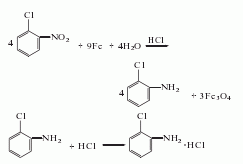
synthesis method
o-nitrochlorobenzene is reduced with 30% hydrochloric acid, water and iron powder to obtain o-chloroaniline. after refining, add 30% hydrochloric acid to form a salt, filter and dry to obtain the finished product. the industrial product is a light gray powder with a content of ≥90% and hydrochloric acid insoluble matter of ≤0.2%. the intensity and color of the coupling with naphthol as should meet the requirements. raw material consumption quota: o-nitrochlorobenzene 1002kg/t, iron powder 1011kg/t, hydrochloric acid (31%) 1092kg/t

purpose
dye intermediates. mainly used as color base for ice dyeing and developer for dyeing and printing of towels, colored yarns, colored cloths and other cotton fabrics and viscose fabrics. also used in organic synthesis intermediates.

微信扫一扫打赏
