
structural formula
| business number | 03w9 |
|---|---|
| molecular formula | c19h14o5s |
| molecular weight | 354.38 |
| label |
3,3-bis(p-hydroxyphenyl)-3h-2,1-benzoxathiolane-1,1-dioxide, phenolsulfonphthalein, phenolsulfonyl phthalide, phenolsulfonphthalein, phenolsulfonphthalein, acid-base indicator |
numbering system
cas number:143-74-8
mdl number:mfcd00003552
einecs number:205-609-7
rtecs number:sj7490000
brn number:326470
pubchem number:24898424
physical property data
1. physical property data:
1. appearance: red crystal
2. melting point (ºc): >300 ºc
3. boiling point (ºc) , normal pressure): >300 ºc
4. flash point (ºc): >300 ºc
5. solubility: slightly soluble in water, easily soluble in ethanol and alkali solutions , 1g of this product is soluble in 1300ml water, about 350ml alcohol, 500ml acetone, almost insoluble in ether and chloroform, soluble in alkali hydroxide or carbonate alkali solution, it turns dark red, and is stable in the air.
toxicological data
2. toxicological data:
1. acute toxicity: rat subcutaneous ld50: >600 mg/kg;
rat intravenous ld50: 752 mg/kg;
mouse venous lc50: 1368 mg/kg.
ecological data
3. ecological data:
1. other harmful effects: this substance may be harmful to the environment, and special attention should be paid to water bodies.
molecular structure data
5. molecular property data:
1. molar refractive index: 92.38
2. molar volume (cm3/mol): 239.7
3 , isotonic specific volume (90.2k): 691.7
4. surface tension (dyne/cm): 69.2
5. polarizability (10-24 cm3): 36.62
compute chemical data
1. reference value for hydrophobic parameter calculation (xlogp): none
2. number of hydrogen bond donors: 2
3. number of hydrogen bond acceptors: 5
4. number of rotatable chemical bonds: 2
5. number of tautomers: 3
6. topological molecule polar surface area 92.2
7. number of heavy atoms: 25
8. surface charge: 0
9. complexity: 545
10. number of isotope atoms: 0
11. determine the number of atomic stereocenters: 0
12. uncertain number of atomic stereocenters: 0
13. determine the number of chemical bond stereocenters: 0
14. number of uncertain chemical bond stereocenters: 0
15. number of covalent bond units: 1
properties and stability
normal temperaturestable under pressure.
incompatible materials: strong oxidizing agents
storage method
keep sealed in a cool place.
synthesis method
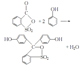
1. melt o-sulfobenzoic anhydride and phenol by heat, add anhydrous zinc chloride and react at 135-140°c for 7 hours, then pour the condensate into hot water, filter, and wash the solid with water. the finished product is purified by acid-base precipitation method.
2.heat the mixture of o-sulfonylbenzoyl anhydride and phenol to completely melt it. when the temperature is 130℃, add anhydrous zinc chloride reacts at 135~140℃ for 7 hours:

after the reaction is completed, add water and heat to boiling, stir continuously until the phenol smell disappears, centrifuge and spin dry, and wash the precipitate twice with water. then add 10% sodium carbonate, heat, let stand, filter, and wash with water twice to precipitate. slowly add dilute hydrochloric acid to the filtrate, stir and heat to 60~80℃, cool n the precipitate is washed with water and then incorporated into the above-mentioned treated precipitate, centrifuged and then dried.
purpose
1. used as acid-base indicator agent, discoloration range ph: 6.8 (sulfur)-8.4 (red). also used in biochemical research.

微信扫一扫打赏
