Polyether_Polyether Polyol Knowledge alizarin red s alizarin red s

alizarin red s alizarin red s

alizarin red s structural formula

structural formula

business number 03mf
molecular formula c14h7nao7s
molecular weight 342.26
label

9,10-dihydro-3,4-dihydroxy-9,10-dioxo-2-anthracenesulfonic acid monosodium salt,

alizarin sodium sulfonate,

medium red 3,

alizarin red,

sodium 1,2-dihydroxyanthraquinone-3-sulfonate,

1,2-dihydroxyanthraquinone-3-sulfonate sodium salt,

3,4-dihydroxy-9,10-dioxo-2-anthracenesulfonic acid sodium salt,,

alizarin carmine,

alizarin red,

alizarin sodium monosulfonate,

alizarin sulfonate sodium,

alizarinsulfonic acid sodium salt,

sodium alizarinsulfonate,

reagents for histochemical research

numbering system

cas number:130-22-3

mdl number:mfcd00013049

einecs number:204-981-8

rtecs number:cb1095300

brn number:4117090

pubchem number:24890988

physical property data

1. properties: orange-yellow or yellow-brown powder.

2. density (g/ml, 25/4℃): undetermined

3. relative vapor density (g/ml, air=1): undetermined

4. melting point (ºc): not determined

5. boiling point (ºc, normal pressure): not determined

6. boiling point (ºc, 5.2kpa): not determined determined

7. refractive index: undetermined

8. flash point (ºc): undetermined

9. specific rotation (º): undetermined

10. autoignition point or ignition temperature (ºc): undetermined

11. vapor pressure (kpa, 25ºc): undetermined

12. saturation vapor pressure (kpa, 60ºc): undetermined

13. heat of combustion (kj/mol): undetermined

14. critical temperature (ºc): undetermined

15. critical pressure (kpa): undetermined

16. log value of oil-water (octanol/water) partition coefficient: undetermined

17. explosion upper limit (% , v/v): undetermined

18. lower explosion limit (%, v/v): undetermined

19. solubility: easily soluble in water, slightly soluble in ethanol , insoluble in benzene and chloroform.

toxicological data

1. acute toxicity: mouse intravenous ld5o: 70mg/kg

ecological data

none yet

molecular structure data

none yet

compute chemical data

1. reference value for hydrophobic parameter calculation (xlogp):

2. number of hydrogen bond donors: 2

3. number of hydrogen bond acceptors: 7

4. number of rotatable chemical bonds: 1

5. number of tautomers: 16

6. topological molecular polar surface area (tpsa): 132

7. number of heavy atoms: 23

8. surface charge: 0

9. complexity: 599

10. number of isotope atoms: 0

11. determine the number of atomic stereocenters: 0

12. uncertain number of atomic stereocenters: 0

13. determine the number of chemical bond stereocenters number: 0

14. number of uncertain chemical bond stereocenters: 0

15. number of covalent bond units: 2

properties and stability

1. the aqueous solution turns light yellowish brown, turns yellow after adding acid, and turns blue-purple after adding alkali. it forms red-purple or red-orange complexes with aluminum, cobalt, beryllium, zirconium, thorium and other metal ions. a certain amount of fluoride can make zirconium, thorium and other complexes fade.

storage method

keep sealed.

synthesis method

introduction to the production method

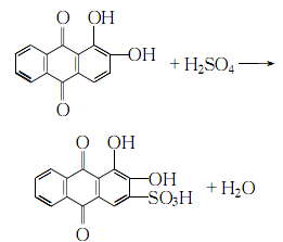
1. add alizarin to 15% fuming sulfuric acid, sulfonate it at 105-110℃, keep it warm for 3 hours, cool it, pour it into distilled water, add sodium chloride to salt out at 60℃, and heat to 70℃ , leave it overnight and filter. after washing with 10% sodium chloride solution, dissolve it in distilled water, place it, and filter. soak the crystals in a solution of ethanol and hydrochloric acid (9:1), stir continuously, and leave overnight. the crystals are dried below 80°c. purification: dissolve the alizarin red obtained by the method in hot water, add activated carbon to decolorize, and filter. stir the filtrate while adding ammonia water until a small amount of crystals precipitate. stir again for 20 minutes, leave it overnight, and filter. the product will be at 70-80°c. dry.

2.heat the crude alizarin red dissolve in water, add activated carbon for decolorization, slowly add filtered clear industrial ammonia to the filtrate while stirring until a small amount of crystals precipitate, continue stirring for 20 minutes, let it stand for crystallization, and filter afterwards, the crystals are dried at 70-80°c to obtain refined alizarin red.

purpose

1. determination of fluoride. acid-base indicator. alizarin red can form a stable red complex with many metal ions and is often used as a metal indicator in analysis; a color developer for the photometric determination of metal ions; often used as a metal indicator in analysis; a photometric method for the determination of metal ions. color developer; acid-base indicator, the first color change range is ph value 3.7 (yellow) ~ 5.2 (purple), the second color change range ph value is 10.1 (purple) ~ 12.0 (light yellow); used for polarographic determination of metal ions.

2.used as an acid-base indicator, with a ph value of 3.7 (yellow) to 5.2 (purple). used as a chromogen for the photometric determination of fluoride, aluminum, beryllium, germanium, indium and cobalt. it is also used as an indicator for the determination of rhenium, thorium, scandium and other metals by the e-ben-t-a method.

This article is from the Internet, does not represent the position of Toluene diisocyanate reproduced please specify the source.https://www.polyether-factory.com/archives/17410

author:

Previous article
Next article
Contact Us

Contact us

+86 - 152 2121 6908

Online consultation: QQ交谈

E-mail: sales@newtopchem.com

Working hours: Monday to Friday, 9:00-17:30, closed on holidays
Follow wechat
Scan wechat and follow us

Scan wechat and follow us

Follow Weibo
Back to top
Home
E-mail
Products
Search