Polyether_Polyether Polyol Knowledge 1-naphthylamine-4-sulfonic acid sodium salt 1-naphthylamine-4-sulfonic acid sodium salt

1-naphthylamine-4-sulfonic acid sodium salt 1-naphthylamine-4-sulfonic acid sodium salt

1-naphthylamine-4-sodium sulfonate structural formula

structural formula

business number 03mb
molecular formula c10h8o3nsna
molecular weight 245.23
label

sodium 1-naphthylamine-4-sulfonate, tetrahydrate,

4-amino-1-naphthalenesulfonic acid monosodium salt,

4-amino-1-naphthalenesulfonate sodium salt,

sodium 1,4 acid,

1-naphthylamine-4-sodium sulfonate,

sodium 4-amino-1-naphthalenesulfonate,

aromatic sulfur compounds

numbering system

cas number:130-13-2

mdl number:mfcd00044844

einecs number:204-975-5

rtecs number:none

brn number:none

pubchem id:none

physical property data

1. properties: white to off-white flaky crystals. slightly sweet.

2. density (g/ml, 25℃): 1.6703

3. solubility: easily soluble in water, the aqueous solution shows blue fluorescence. soluble in 95% ethanol, insoluble in ether, slightly soluble in concentrated caustic alkali solution and ethanol solution.

toxicological data

none yet

ecological data

none yet

molecular structure data

none yet

compute chemical data

1. reference value for hydrophobic parameter calculation (xlogp):

2. number of hydrogen bond donors: 1

3. number of hydrogen bond acceptors: 4

4. number of rotatable chemical bonds: 1

5. number of tautomers:

6. topological molecular polar surface area (tpsa): 83.2

7. number of heavy atoms: 16

8. surface charge: 0

9. complexity: 327

10. number of isotope atoms: 0

11. determine the number of atomic stereocenters: 0

12. uncertain number of atomic stereocenters: 0

13. determine the number of chemical bond stereocenters : 0

14. number of uncertain chemical bond stereocenters: 0

15. number of covalent bond units: 2

properties and stability

toxic, can cause poisoning if inhaled, swallowed or absorbed through skin. during the production process, attention should be paid to protective measures, and good ventilation should be maintained at the production site. operators should wear protective equipment.
 

storage method

packed in sack-lined plastic bags or double-layer plastic bags. 50kg per bag. store in a cool, ventilated and dry place. avoid breakage during transportation. during transportation, keep away from sunlight and moisture, and keep away from sources of fire. store and transport according to regulations on toxic chemicals.

synthesis method

introduction to the production method

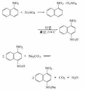
it is prepared from 1-naphthylamine-4-sulfonic acid and then neutralized with sodium carbonate.

purpose

mainly used to produce nivin acid, direct red dye, acid red dye and edible red pigment, such as acid red a, b, acid scarlet 3r, direct scarlet g, direct scarlet 4b, direct scarlet gb, direct scarlet b, direct green 2gn, as well as dyes such as edible scarlet, edible carmine, edible bayberry, and edible amaranth. it is also used to prepare intermediates such as 1,4-naphthalenesulfonic acid. also acts as an antidote to sulfite and iodine poisoning.

This article is from the Internet, does not represent the position of Toluene diisocyanate reproduced please specify the source.https://www.polyether-factory.com/archives/17387

author:

Previous article
Next article
Contact Us

Contact us

+86 - 152 2121 6908

Online consultation: QQ交谈

E-mail: sales@newtopchem.com

Working hours: Monday to Friday, 9:00-17:30, closed on holidays
Follow wechat
Scan wechat and follow us

Scan wechat and follow us

Follow Weibo
Back to top
Home
E-mail
Products
Search