Polyether_Polyether Polyol Knowledge mt01079 strontium ranelate 135459-87-9

mt01079 strontium ranelate 135459-87-9

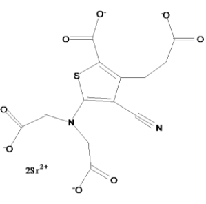
strontium ranelate

english name: strontium ranelate
common aliases: distrontium 5-[bis(carboxymethyl)amino]-2-carboxy-4-cyano-3-thiophene acetate; strontium ranelate; strontium ranelate; strontium ranelate
cas number: 135459-87-9 boiling point: 778.8±60.0 °c at 760 mmhg
mdl number: melting point: >310°c (dec.)
molecular formula: c12h6n2o8ssr2 flash point: 424.8±32.9 °c
molecular weight: 513.49 density: 1.8±0.1 g/cm3
physical and chemical properties: storage conditions:
This article is from the Internet, does not represent the position of Toluene diisocyanate reproduced please specify the source.https://www.polyether-factory.com/archives/10546

author:

Previous article
Next article
Contact Us

Contact us

+86 - 152 2121 6908

Online consultation: QQ交谈

E-mail: sales@newtopchem.com

Working hours: Monday to Friday, 9:00-17:30, closed on holidays
Follow wechat
Scan wechat and follow us

Scan wechat and follow us

Follow Weibo
Back to top
Home
E-mail
Products
Search