Polyether_Polyether Polyol Knowledge mt01247spiramycin8025-81-8

mt01247spiramycin8025-81-8

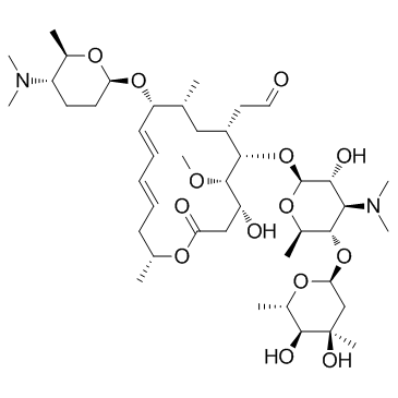
spiramycin

english name: spiramycin
common aliases: leumycin a1;albumycin a1;spiramycin (spiramycin base)
cas number: 8025-81-8 boiling point: 913.7±65.0 °c at 760 mmhg
mdl number: n/a melting point: n/a
molecular formula: c43h74n2o14 flash point: 506.4±34.3 °c
molecular weight: 843.053 density: 1.2±0.1 g/cm3
physical and chemical properties: n/a storage conditions: avoid light, store in a cool and dry place, sealed
This article is from the Internet, does not represent the position of Toluene diisocyanate reproduced please specify the source.https://www.polyether-factory.com/archives/10362

author:

Previous article
Next article
Contact Us

Contact us

+86 - 152 2121 6908

Online consultation: QQ交谈

E-mail: sales@newtopchem.com

Working hours: Monday to Friday, 9:00-17:30, closed on holidays
Follow wechat
Scan wechat and follow us

Scan wechat and follow us

Follow Weibo
Back to top
Home
E-mail
Products
Search