trichloroisocyanuric acid

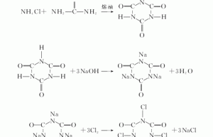
structural formula business number 01ys molecular formula c3cl3n3o3 molecular weight 232.41 label strong chlorine, trichloroethyl cyanuric acid, 1,3,5-trichloro-2,4,6-triazinetrione, symclosene, tcica…

Contact Us

Contact us

+86 - 152 2121 6908

Online consultation: QQ交谈

E-mail: sales@newtopchem.com

Working hours: Monday to Friday, 9:00-17:30, closed on holidays
Follow wechat
Scan wechat and follow us

Scan wechat and follow us

Follow Weibo
Back to top
Home
E-mail
Products
Search