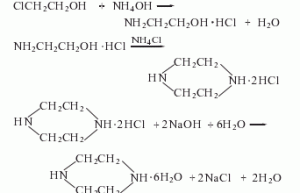
piperazine hexahydrate

structural formula business number 03v7 molecular formula c4h10n2·6h2o molecular weight 194.23 label diethylenediamine hexahydrate, piperazine hexahydrate, piperazine hexahydrate, diethylenediamine he…

Contact Us

Contact us

+86 - 152 2121 6908

Online consultation: QQ交谈

E-mail: sales@newtopchem.com

Working hours: Monday to Friday, 9:00-17:30, closed on holidays
Follow wechat
Scan wechat and follow us

Scan wechat and follow us

Follow Weibo
Back to top
Home
E-mail
Products
Search