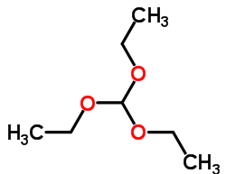
Triethyl orthoformate

mt02702 triethyl orthoformate 122-51-0

english name: triethyl orthoformate common aliases: triethoxymethane; triethyl orthoformate; (tri)ethyl orthoformate; 1,1′,1”(methine tri(oxo))triethane; ethyl orthoformate;1”(methin…

Contact Us

Contact us

+86 - 152 2121 6908

Online consultation: QQ交谈

E-mail: sales@newtopchem.com

Working hours: Monday to Friday, 9:00-17:30, closed on holidays
Follow wechat
Scan wechat and follow us

Scan wechat and follow us

Follow Weibo
Back to top
Home
E-mail
Products
Search