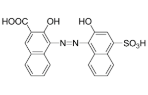
mt01047 calcium carboxylic acid indicator 3737-95-9
english name: calconcarboxylic acid common aliases: 2-hydroxy-1-(2-hydroxy-4-sulfo-1-naphthylazo)-3-naphthoic acid;3-hydroxy-4-[(2-hydroxy-4 -sulfo-1-naphthyl)azo]-2-naphthalenecarboxylic acid; 3-hydr…

