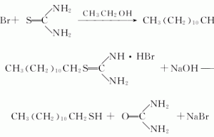
dodecanethiol 1-dodecanethiol

structural formula business number 0362 molecular formula c12h26s molecular weight 202.40 label 1-dodecanethiol, dodecanethiol, dodecanethiol, n-dodecanethiol, dodecyl mercaptan, dodecyl mercaptan, la…

Contact Us

Contact us

+86 - 152 2121 6908

Online consultation: QQ交谈

E-mail: sales@newtopchem.com

Working hours: Monday to Friday, 9:00-17:30, closed on holidays
Follow wechat
Scan wechat and follow us

Scan wechat and follow us

Follow Weibo
Back to top
Home
E-mail
Products
Search