bromocresol purple

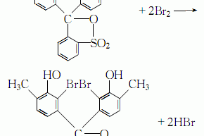
structural formula business number 037z molecular formula c21h16br2o5s molecular weight 540.22 label dibromo-o-cresolsulfonphthalein, dibromo-o-cresolsulfonyl phthalide, dibromo-o-cresolsulfonphthalid…

Contact Us

Contact us

+86 - 152 2121 6908

Online consultation: QQ交谈

E-mail: sales@newtopchem.com

Working hours: Monday to Friday, 9:00-17:30, closed on holidays
Follow wechat
Scan wechat and follow us

Scan wechat and follow us

Follow Weibo
Back to top
Home
E-mail
Products
Search