aluminum reagent

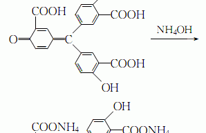
structural formula business number 05tt molecular formula c22h23n3o9 molecular weight 473.44 label rose red ammonium tricarboxylate, salicyl o-aminophenol, salicylaldehyde o-aminophenol acetate, golde…

Contact Us

Contact us

+86 - 152 2121 6908

Online consultation: QQ交谈

E-mail: sales@newtopchem.com

Working hours: Monday to Friday, 9:00-17:30, closed on holidays
Follow wechat
Scan wechat and follow us

Scan wechat and follow us

Follow Weibo
Back to top
Home
E-mail
Products
Search