3,5-dibromo-o-hydroxybenzoic aldehyde
structural formula business number 022k molecular formula c7h4br2o2 molecular weight 279.91 label 3,5-dibromosalicylaldehyde, 3,5-dibromo-2-hydroxybenzaldehyde, 3,5-dibromosalicylaldehyde, 3,5-dibromo…
3,4,5-trimethoxyphenylacrylic acid
structural formula business number 022h molecular formula c12h14o5 molecular weight 238.24 label 3,4,5-trimethoxycinnamic acid, o-methyl oric acid, 3-(3,4,5)-trimethoxyphenyl-2-acrylic acid, 3,4,5-tri…
3,4-dimethoxybenzaldehyde
structural formula business number 03br molecular formula c9h10o3 molecular weight 166.17 label veratraldehyde, veratraldehyde, veratric aldehyde, 3,4-dimethoxybenzenecarbonal, synergist, food additiv…
3,5-dihydroxy-2-naphthoic acid
structural formula business number 020n molecular formula c11h8o4 molecular weight 204.18 label 3,5-dihydroxy-2-naphthalenecarboxylic acid, (ho)2c10h5co2h numbering system physical property data toxic…
1,2,3,4-benzenetetracarboxylic acid
structural formula business number 020e molecular formula c10h6o8 molecular weight 254.15 label 1,2,4,5-tetracarboxylic acid benzene, pyromellitic acid, pyromellitic acid, pyromellitic acid, c6h2(co2h…
2,3,5-triiodobenzoic acid
structural formula business number 0203 molecular formula c7h3i3o2 molecular weight 499 label 2,3,5-triiodobenzoic acid, johnkolor,triiodobenzoic acid, plant growth regulator numbering system physical…
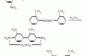
3,3′-dimethylbenzidine
structural formula business number 03bh molecular formula c14h16n12 molecular weight 212.29 label o-toluidine, o-toluidine; diaminodimethylbiphenyl, o-tolidine, 4-4’diamino-3-3′-dimethylbi…
3,3′-dimethoxybenzidine
structural formula business number 03bf molecular formula c14h16n2o2 molecular weight 244.29 label [-c6h3(och3)nh2]2, reduction indicator, complex indicator numbering system physical property data tox…
3,4-dihydrocoumarin
structural formula business number 03be molecular formula c9h8o2 molecular weight 148.16 label 3,4-dihydro-2h-benzopyran-2-one, dihydrocumarin, melilotine, food additives, flavor enhancer numbering sy…
3,5-di-tert-butyl-4-hydroxybenzyl alcohol
structural formula business number 01zc molecular formula c15h24o2 molecular weight 236.35 label 3,5-di-tert-butyl-4-hydroxybenzyl alcohol, hoc6h2[c(ch3)3]2ch2oh numbering system physical property dat…

