1,4-butanediol 1,4-butanediol
structural formula business number 031n molecular formula c4h10o2 molecular weight 90.12 label butylene glycol, 1,4-dihydroxybutane, butylene glycol, 1,4-dihydroxybutane, 1,4-butylene glycol, tetrasme…
1,4-diaminobutane 1,4-diaminobutane
structural formula business number 031k molecular formula c4h12n2 molecular weight 88.15 label tetramethylenediamine, 1,4-butanediamine, 1,4-butylendiamine, tetramethylenediamineputrescine, putrecine,…
1,8-naphthalene dicarboxylic anhydride 1,8-naphthalene dicarboxylic anhydride
structural formula business number 01sg molecular formula c12h6o3 molecular weight 198 label naphthalene-1,8-dicarboxylic anhydride, naphtho[1,8,8a-c,d]pyran-1,3-dione, pesticide intermediates; aromat…
1,4-dichlorobutane 1,4-dichlorobutane
structural formula business number 031f molecular formula c4h8cl2 molecular weight 127.01 label tetramethylene dichloride, tetramethylene chloride, tetramethylene dichloride, 1,4-butylene dichloride, …
1,4-dibromobutane 1,4-dibromobutane
structural formula business number 031c molecular formula c4h8br2 molecular weight 215.93 label butylene dibromide, tetramethyl bromide, propylene bromide, tetramethylenyl dibromide, tetramethylene di…
1,8-naphthalimide 1,8-naphthalimide
structural formula business number 01sf molecular formula c12h7no2 molecular weight 197.19 label none yet numbering system physical property data toxicological data ecological data molecular structure…
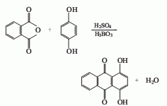
1,4-dihydroxyanthraquinone 1,4-dihydroxyanthraquinone
structural formula business number 01sc molecular formula c14h8o4 molecular weight 240.21 label quezain, quinone, aromatic aldehydes, ketones and their derivatives numbering system physical property d…
1,2-cyclohexanedicarboxylic anhydride
structural formula business number 01vr molecular formula c8h10o3 molecular weight 154.16 label hexahydrophthalic anhydride, hexahydrophthalic anhydride, cyclohexane-1,2-dicarboxylic anhydride, hexahy…
1,8-dihydroxy-4,5-dinitro-9,10-anthraquinone 1,8-dihydroxy-4,5-dinitro-9,10-anthraquinone
structural formula business number 01s9 molecular formula c14h6n2o8 molecular weight 330.21 label none yet numbering system physical property data toxicological data ecological data molecular structur…
1,4-diamino-2,3-dichloroanthraquinone 1,4-diamino-2,3-dichloroanthraquinone
structural formula business number 01s5 molecular formula c14h8cl2n2o2 molecular weight 307.13 label disperse violet 28, disperse violet 28 numbering system physical property data toxicological data e…

