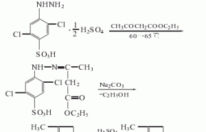
1-(2′,5′-dichloro-4′-sulfophenyl)-3-methyl-5-pyrazolone1-(2′,5′-dichloro-4′-sulfophenyl) -3-methyl-5-pyrazolone
structural formula business number 01us molecular formula c10h6cl2n2o4s molecular weight 323.15 label 1-(2,5-dichloro-4-phenylsulfonate)-3-methyl-5-pyrazolone, 1-(2,5-dichloro-4-sulfophenyl)-3-methyl-…

